There is a potentially undersold risk as a company considers outsourcing IT development or operations: The loss of internal productivity to mentor outsourcing consultants are often difficult to recuperate.
When we learn complex systems, our competence usually follows a Sigmoid curve (also known as “S-curve” or “Logistic curve”).
“Many natural processes, such as those of complex system learning curves, exhibit a progression from small beginnings that accelerates and approaches a climax over time.” (1)

“In this case the improvement of proficiency starts slowly, then increases rapidly, and finally levels off.” (2)
When a company is looking to outsource the development or operations of proprietary complex IT systems, the consultants will usually follow this learning curve. But in order to eventually become productive, the consultant will rely on mentors to learn the ropes.
An internal competent developer or system administrator is assigned as a mentor to the external consultant. The mentor will experience a drop in productivity, and regain the productivity concurrent with the consultant.
Spreading the burden among several mentors may make the productivity loss less visible, but the combined loss of the mentors may even be greater.
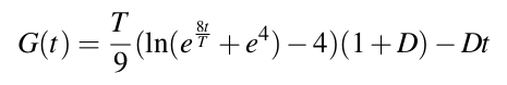
According to a recent survey I did, the productivity loss of the mentor was at least 50%. The time needed from scratch to a fully productive developer was 24 months. The question is “How long would it take for the productivity of the consulatant to make up for the productivity loss of the mentor?”. Or in other words “How long until this scenario goes break-even?”.
To calculate this, we turn to the Sigmoid function:

Productivity of the consultant (p) is the Sigmoid function over time (t). We adopt the function to go from 0 to the time needed to become fully productive (T).

Then we adopt the function for the mentor’s productivity (P) starting from his dropped productivity and back to full productivity after T time. The drop (D) is the fraction of his full productivity (1).

The reason for the slight difference in the equations (the factors “7” and “8”) represents the fact that even after the time “T”, the consultant would on average still be a notch lower in productivity than the mentor.
The two curves combined with “T = 24” and “D = 0.5”:

The accumulated productivity of the consultant over time is the area under the blue curve, i.e. the integral of p(t).

To get the accumulated loss of productivity of the mentor over time, P(t), we first invert the mentor’s productivity to get his productivity loss, Q(t).

And the integral of Q(t).

The big question is “At what time (t) does the consultant’s productivity make up for the mentor’s lost productivity?”

With:

… we get:

…which reduces to:

Graphically represented:

The question is so big that WolframAlpha cannot display the numeric result within its standard computational time. But with the help of my trusted old HP-41 calculator, the answer was achieved: It takes 19 months of mentoring for the outsourcing project to break even.
The hidden risk is that if the consultant quits before that time, the outsourcing is a losing proposition.
So, if a company considers outsourcing IT to let’s say a Baltic company, one must be very certain that the turn-over of their consultants is above this break-even by a good margin.
The risk management: First figure out how long it usually takes a new employee in the company to get up to full production speed. Add some time if the consultant speaks a different language, is of a different culture and especially if the mentoring is done from a distance. This will be your “T” time.
Then, by a few short pilots, figure out the mentor’s productivity loss. This will be your drop “D”. Along with WolframAlpha and an HP-41, this is all you need to calculate the break-even for the outsourcing project. With the use of some employment statistics from the outsourcing company or the IT industry of that country, you will have a pretty clear picture of the risk involved.
One can, to some degree, mitigate this risk through effective Knowledge Management. A competent Knowledge Manager with an excellent company wiki solution and efficient training setups could shorten the time to break-even by perhaps 20%. Nevertheless, it’s a serious risk to consider – especially since tacit knowledge from years of experience in the company is hard to transfer. Add to this the risk of the mentor quitting or is put on other tasks. Thus the consultant’s stay should exceed “T” with a good margin.
Update (2015-01-18)
An approximation formula will suffice for quick gain/loss calculations. This formula gives the net gain (if positive) or loss (if negative) for any given time (“t”):
